
丹东百特仪器有限公司
钻石会员
已认证

丹东百特仪器有限公司
钻石会员
已认证
5月24日,丹东市召开劳动模范、先进工作者和先进集体表彰大会。会上市委书记裴伟东出席会议并讲话,他代表市委、市人大常委会、市政府、市政协,向受到表彰的劳动模范、先进工作者和先进集体表示热烈的祝贺,向辛勤工作在全市各条战线上的工人、农民、知识分子和广大劳动者致以诚挚的问候。丹东百特仪器有限公司研发总监
长城脚下,雁栖湖畔,2023第十六届中国科学仪器发展年会在北京雁栖湖国际会展中心盛大召开。这场被业界誉为科学仪器行业“达沃斯论坛”的盛会,吸引了国内外科学仪器界1500多位代表、专家和企业家。丹东百特总经理董青云、副总经理刘忠兰、研发总监范继来、总经理助理张丽娟以及研发和市场团队共8人参加了本次会议
长城脚下,雁栖湖畔,2023第十六届中国科学仪器发展年会在北京雁栖湖国际会展中心盛大召开。这场被业界誉为科学仪器行业“达沃斯论坛”的盛会,吸引了国内外科学仪器界1500多位代表、专家和企业家。丹东百特总经理董青云、副总经理刘忠兰、研发总监范继来、总经理助理张丽娟以及研发和市场团队共8人参加了本次会议
春之末尾,夏之开始,百特仪器不仅在国内市场进一步巩固了行业龙头地位,更在国际市场中受到用户的支持与青睐,活跃在各个领域,致力于为颗粒表征提供解决方案。2023 iPBS美国芝加哥粉体工业展览会2023年4月25日至4月27日,2023 iPBS 美国芝加哥粉体工业展览会在史蒂芬会展中心如期举行。iP
2023年4月22日,首届百特–《颗粒学报》优秀论文奖颁奖仪式在海南省海口市第十二届中国颗粒大会开幕式上成功举行,以表彰并奖励本刊在2019年至2021年发表的具有较高学术水平、创新性或国际影响力的优秀研究论文。中国颗粒学会常务理事、广州大学彭峰教授担任仪式主持人进行开场致辞并介绍奖项设立背景。因两
Α-FeOOH,呈黄色,被称为氧化铁黄(简称铁黄),铁黄形貌多为针状结构,具有较好的遮盖力、耐光性、耐候性、耐酸碱性以及吸收紫外光线等优点,被广泛的应用于皮革、透明塑料、闪光涂料、油墨、颜料等方面,除此之外在精细陶瓷,催化剂以及生物工程领域也有良好的应用前景。由于氧化铁黄在177℃以上时,将会失去结
不辞山路远,踏雪也相过。在疫去春来的三月份,百特将足迹延伸到东南亚,开启了海外市场巡访,并对代理商们进行了热情周到的培训。2023年丹东百特海外市场东南亚巡访第一站来到新加坡,百特回访组与新加坡代理商畅聊市场开发并进行了为期三天的培训交流,新加坡代理公司Omega Scientific 的吴总亲自接
长风破浪会有时,直挂云帆济沧海。经过疫情三年的苦苦等待,我们终于迎来了全面放开的好消息。与此同时,出海访问的计划也在百特国际部中紧锣密鼓的安排起来。春节假期刚结束,我们就踏上了飞往日本的航班。此行是自2021年与三洋贸易正式签约以来的初次访问,百特为代理商精心的准备了能够展现我们大国文明的真丝织锦《
美国时间2023年3月18日至22日,全球顶端分析化学、科学分析及实验室展Pittcon展会(美国匹兹堡实验室及分析仪器展)在美国费城宾夕法尼亚会议中心盛大开幕。丹东百特携Bettersize3000Plus激光/图像粒度粒形分析仪、BeNano 180 Zeta Pro纳米粒度及Zeta电位分析仪
丹东百特全新一代BetterPyc 380 多功能真密度仪器已于2023年正式发布,今天就让小编带大家来了解一下~BetterPyc 380多功能真密度仪,是由丹东百特研制的全新一代粉体物性检测产品,可用于分析样品的体积、密度、固含量以及开孔率,同时配套电脑端操作软件,具有多功能性、自动化程度高、操
近期ChatGPT火出圈成为全网热议的话题ChatGPT是人工智能技术驱动的自然语言处理工具,能够通过学习和理解人类的语言来进行对话,还能根据聊天的上下文进行互动,像人类一样来聊天交流。今天,小编和ChatGPT聊了聊激光粒度仪的那些事儿~看看“它”对粒度测试的技术和应用,到底了解多少?Q1 激光
为普及颗粒测试知识,将百特高性能粒度分析仪器和应用研究成果展示给广大用户,丹东百特决定自2023年1月起开展“博士讲坛”系列活动,每月一次,每次一个主题报告,由颗粒表征技术专家李雪冰博士或宁辉博士主讲。还结合主题报告安排一个副报告,由经验丰富的服务工程师或产品经理主讲。报告结束后还设立提问环节,由博
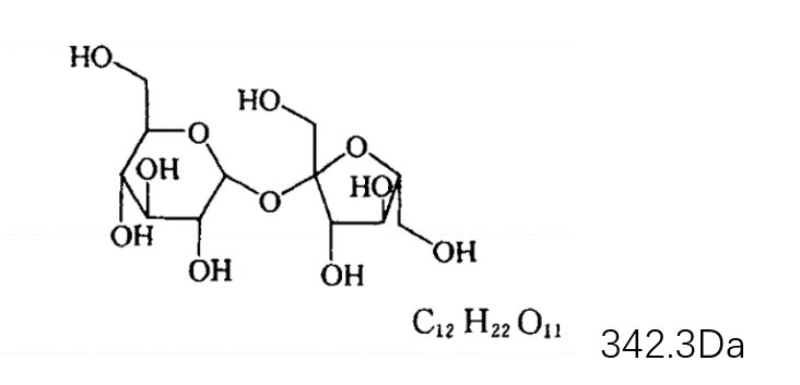
图|蔗糖分子结构式和分子量图|葡萄糖分子结构式和分子量动态光散射技术的粒径有效检测下限涉及到仪器的光路设计、激光器功率、检测器类型以及相关器的计算能力,一直以来受到用户的关注。在以往的报道中,动态光散射的检测下限经常通过一个小分子样品验证,其中蔗糖(分子量342.3 Da)和维生素B1(分子量337
继11月22日,丹东百特连续三年获得石英行业“优质供应商”称号后,百特三台仪器再获大奖!由仪器信息网主办,历时半年,在经过对上万名用户进行深入调研后,第四届“国产好仪器”获奖名单盛大揭幕。本次活动从科学仪器的可靠性、稳定性、售后服务等多方面,对150家企业的240台参选仪器进行评比,最终丹东百特仪器
2022(第六届)全国石英大会于11月22-23日在江苏徐州盛大召开。此次会议以“高效利用,高端突破”为主题,聚集产业链最强嘉宾,百强企业,共同演绎石英材料的创新发展。丹东百特连续6年受邀出席会议并做行业报告,这也是百特连续三年获得石英行业“优质供应商”称号。 会上,百特高级应用工程师郭志斌围
董青云总经理在《试论百特的企业文化》一文中指出,人文文化是百特企业文化的核心,尊重、爱护员工并与员工共享发展成果是百特凝聚力量的源泉。首先,公司建立了与员工共享发展成果的机制,将员工的业绩收入与公司发展成果紧密相连,使员工的收入逐年提升。例如,建立健全了“五险一金”、岗位工资、绩效奖金、年终奖励和晋
2022年第二届国际颗粒表征研讨会于9月22-25日在土耳其举办。来自土耳其、中国、丹麦、德国等多个国家的专家学者出席了此次会议,并分享了各自领域最新的颗粒表征研究成果。作为本次会议的白金赞助商,百特土耳其代理ANKA ANALITIK隆重亮相,为国际用户带去了来自中国的颗粒表征解决方案——百特仪器
THAILAND LAB INTERNATIONAL是亚洲领先的实验室展览之一,展示了涵盖分析与测试、校准与计量、临床与诊断、环境与安全以及研发领域的所有实验室设备和仪器。本次LAB Tech于2022年9月14-16日在曼谷举行,有来自 60 个参与国家的9000余人出席。其中,会议期间举办了各种
作为仪器及检测3i奖之一的“科学仪器优秀新品”评选活动由仪器信息网发起,旨在将在中国仪器市场上推出的、创新性比较突出的国内外仪器产品全面、公正、客观地展现给广大的国内用户。“2021年度科学仪器优秀新品”评选活动共有711台仪器参与,在技术评审委员会主席团的监督下,经仪器信息网“专业编辑团”初审、
Lab-Indonesia是印度尼西亚唯一聚焦实验室设备与科学仪器领域的展会,每两年举办一次,范围涉及石油、化工、制药、药物、生物(微生物)、纳米科技、食品、健康、电子、光学、测绘勘探、环保等相关产业。得到了众多专业协会和印尼国内外参展商、参观商的支持。百特仪器的印尼代理商PT MAGNA SARD
第八届环境友好型农药制剂加工技术研讨会经历了从延期到换址,于2022年8月22日在嘉兴成功举办。疫情时代下的每一次线下行业交流会议都很珍贵,丹东百特一直积极参与,与来自全国近600位专家学者交流行业发展信息,聆听用户心声,共商“绿色赋能,创新突破”之道。制剂会每两年举办一届,至今已成功举办七届。作为
丹东百特北京办事处已成立14年,随着百特仪器市场占有率的不断提高,百特产品更迭创新,百特服务也在持续升级。此次全新的北京办事处3.0已正式投入使用,以新颜新貌踏上新征程,为广大百特用户提供更加优质优良的颗粒测试服务。 北京办事处新址位于北京市昌平区天通西苑二区15号楼301室。新办事处融合粒
丹东百特仪器有限公司研发生产的恒温恒湿称重产品——BTPM-AWS型全自动滤膜恒温恒湿称重系统在与多个国内知名品牌同台竞技中脱颖而出,顺利中标国内某政府采购项目。经过严格检验的12台BTPM-AWS型全自动滤膜恒温恒湿称重系统已整装列队,踏上旅途发往各地,为全国环保事业贡献百特力量。BTPM-AWS
脂肪乳自1962年瑞典成功开发以来,不仅作为能量补给剂,而且更加广泛地用作制药领域的药物载体。由于脂肪乳属热力学不稳定体系,有聚集和絮凝等现象,脂肪乳初乳的颗粒大小又对成品粒度有着重要的影响,而成品乳粒的粒度和分布是注射液脂肪乳质量的核心,关系到注射液的稳定性、有效性和安全性,因此需要在生产过程中对
三月拾花酿春,六月流萤染夏。2022年上半年,百特仪器不仅在国内市场进一步巩固了行业龙头地位,更在国际市场中受到多所海外知名高校和研究机构的青睐,在与进口仪器的正面PK中屡摘桂冠。多所著名高校,如利物浦大学、诺丁汉大学、格拉斯哥大学等,都在今年上半年采购了百特激光粒度仪与纳米粒度仪,用于检测特定的化
丹东百特仪器有限公司历经27年的创新发展,产品质量和技术居国内外前列,百特粒度仪遍布全国34个省、市、区,还出口到世界90多个国家和地区。在公司25周年庆典上,公司总经理董青云提出了更高的发展目标——做精品仪器,创世界品牌。一件好的产品,设计是灵魂,技术是骨骼,质量是精神,生产是承载这一切的血肉之躯
质量是百特公司的生存之本,也是我们百特人的尊严。通过践行ISO质量管理体系原则,百特已形成独特的质量管理模式。但追求无止境,百特不断转换思想,内化行动,践行“三个理念”,不断提升百特仪器质量,对标全球最高水平,打造质量过硬技术领先的粒度、环境仪器。一、全员参加,统一思想,树立质量第一的理念。质量管理
嫩枝新芽好季节,迎着令人欢欣鼓舞的春天,丹东百特仪器携Bettersize3000plus如期亮相于美国第17届联合国际耐火材料大会,现场引来百特在欧美地区众多新老客户的驻足观望。联合国际耐火材料大会 (UNITECR) 是每两年举办一次的国际耐火材料会议,旨在促进与耐火材料有关的工业知识和技术发展
2022年4月,作为中国知名的粒度粒形测试仪器制造商和粒度粒形测试技术的研发者,丹东百特正式推出自主研发的“百特图像粒度粒形分析软件4.0版本”(以下简称“百特图像法新软件”)。欲穷千里目,更上一层楼。百特图像法新软件为您带来全面升级的测试体验,将会是您粒度粒形测试的首选。图1. 丹东百特图像粒度粒
百特的文化内涵包括多方面。总经理董青云在《试论百特的企业文化》一文中提出了百特文化包含诚信、团结、鼓励、服务、人文、容错、创新、质量和发展等9项内容,并指出,诚信文化是百特企业文化的基础,是百特公司和员工的行为准则。对国家和社会讲诚信。百特始终坚持依法经营,依法纳税,连续15年被评为“丹东市纳税信用
虚拟号将在 秒后失效
使用微信扫码拨号