
安东帕中国
金牌会员
已认证

安东帕中国
金牌会员
已认证

在追求可持续发展的今天,塑料回收已成为全球关注的焦点。聚丙烯(PP)作为应用最广泛的塑料之一,从食品包装到汽车部件,无处不在。
但一个关键问题随之而来:经过多次回收后,它的性能还可靠吗?
安东帕最新应用报告,利用安东帕差示扫描量热法(DSC),像给材料做“CT扫描”一样,从热性能角度给出了精准答案。

01 隐患:回收过程的“热历史”损伤
机械回收过程中的每次加热、剪切,都可能对PP分子链造成不可逆的损伤:
分子链断裂:导致分子量下降。
结构异质性增加:形成不完美的晶体。这些微观损伤累积起来,最终将影响产品的机械强度、尺寸稳定性与寿命。
02 利器:洞悉微观结构的DSC技术
在本研究中,安东帕的 Julia DSC 300 发挥了核心作用。
DSC 就像材料的“体温计”和“热量计”,能够精确测量材料在升降温过程中的热变化。
核心实验方法:热-冷-热循环
通过精心设计的程序,首次加热消除材料历史,第二次加热则揭示材料最真实的本征特性,
让我们能清晰区分“加工历史的影响”和“材料本身的特性”。
Julia DSC 300 差示扫描量热仪
03 核心发现:从熔融曲线看透材料变化
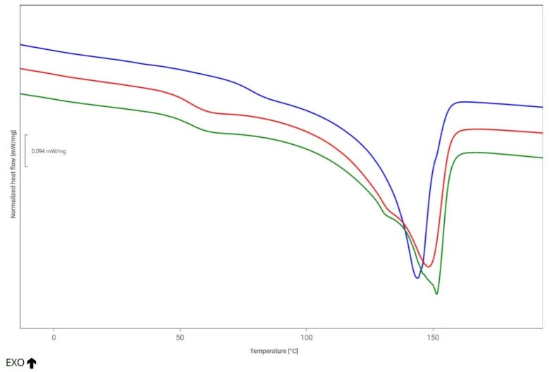
首次加热:直接观察“回收创伤”
第一次加热曲线如同材料的“病历本”,清晰记录了每次回收留下的印记。

原始PP(蓝色)、5倍再生PP(红色)和10倍再生PP的第一条加热曲线的叠加(绿色)
熔点飙升:原生PP熔点为143.9°C,而10次回收PP熔点升至151.4°C。这并非性能提升,而是因为降解后分子链更杂乱,需要更高温度才能“融化”不完善的晶体。
热稳定性变化:熔点的系统性移动暗示材料热稳定性因回收而改变。
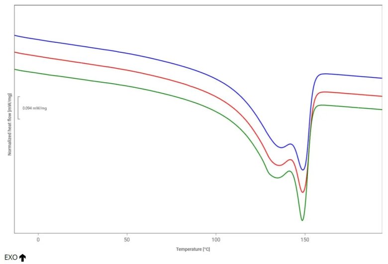
二次加热:揭示材料“真实底色”
抹去加工历史后,第二次加热揭示了材料的本质特性,结论更为关键。

原始PP(蓝色)、5倍再生PP(红色)和10倍再生PP的第二加热曲线叠加(绿色)
峰形变宽是关键信号:尽管熔点趋同,但回收PP的熔融峰明显变宽、不再尖锐。
这直接证明了材料内部结构均一性已遭破坏,是分子链降解的确凿证据。
起始温度升高:熔融起始温度随回收次数增加而升高,进一步印证了晶体结构变得复杂而不规则。
04 行业启示:为高质量回收应用指明方向

本研究为决策提供了关键科学依据:
5次回收PP:热性能变化温和,仍保持良好的结晶与熔融特性,适用于大多数日常应用。
10次回收PP:结构异质性明显,非晶区增加,对于高性能要求的应用需谨慎评估。
这有助于企业在包装、纺织、消费品等领域,根据产品性能要求,精准选择合适次数的回收料,
在可持续与可靠性之间找到最佳平衡。
05 结论
安东帕此份报告充分证明了:
DSC是监控回收塑料品质、进行来料质检的利器。
适度回收(如5次)的PP仍具有很高的应用价值,可有效支持循环经济。
精准的材料表征是推动塑料闭环回收、响应环保法规的关键。

差示扫描量热仪:Julia DSC样册
Julia DSC:兼具速度与精度安东帕强大的新型差示扫描量热仪可助力操作效率,助您在时间与精度至关重要的领域获得制胜优势。


最新动态
更多
请拨打厂商400电话进行咨询
使用微信扫码拨号