
元能科技(厦门)有限公司
白金会员
已认证

元能科技(厦门)有限公司
白金会员
已认证
1. 背景
锂离子电池作为当今最重要的电化学储能装置之一,其性能提升一直备受关注。传统研究多聚焦于活性材料的改良,而往往忽视了粘结剂这一"幕后功臣"的重要性。虽然仅占电极质量的2%-5%,却对电极微观结构和电化学性能具有决定性影响。本文系统分析了粘结剂在极片中的多重作用机制,探讨了其对极片曲折度的调控机理及其对电池性能的影响,为下一代高性能电池的开发提供新思路。
2. 粘结剂对极片微观结构的调控机制
2.1 粘结剂-粘合机理
粘结剂与活性材料等物质的粘合方式主要有以下两种:
(1)间接结合:即粘结剂与活性材料之间主要通过非共价键作用在一起。粘结剂与活性材料产生很微弱的范德华力,与活性材料的结合力十分有限。
(2)直接结合:即粘结剂与活性材料之间主要通过共价键连接成一个整体。该方式所需的结合剂相对较少,粘结力更强,更适合高能量密度电池的应用。
2.2 粘结剂-颗粒界面特性
粘结剂与活性材料的界面相互作用对离子传输至关重要:
(1)润湿性影响:亲水性粘结剂(如CMC)能改善电解液对电极的浸润,降低界面阻抗。
(2)界面化学稳定性:某些粘结剂(如PAA)能与活性物质表面形成稳定的钝化层,抑制副反应发生,但同时可能增加界面离子传输阻力。
(3)机械适配性:在充放电过程中,粘结剂需要适应活性物质的体积变化。刚性粘结剂可能导致界面接触失效,而弹性粘结剂能维持良好的界面接触。
3. 粘结剂对极片曲折度的调控机理
3.1 粘结剂含量与曲折度的关系
(1)低含量区(<2wt.%):粘结剂不足以形成连续网络,颗粒间接触不良,可能形成大尺寸但连通性差的孔隙,导致曲折度升高。
(2)最佳含量区(2-4wt.%):粘结剂形成理想的三维网络,既能固定颗粒,又保持足够的连通孔隙,曲折度最低。
(3)高含量区(>5wt.%):过量粘结剂严重堵塞孔隙,显著增加曲折度。
3.2 粘结剂类型对曲折度的影响
(1)PVDF类粘结剂:由于疏水性和成膜性强,容易形成高曲折度结构。但其优势在于机械强度高,适合高能量密度电极。
(2)水性粘结剂(CMC/SBR):亲水性好,电解液浸润性佳,通常能获得较低的曲折度。但机械强度相对较弱。
(3)复合粘结剂:结合不同类型粘结剂的优势,既能保持较高强度,又可降低曲折度。
4. 粘结剂-曲折度-电池性能的关联机制
4.1 倍率性能的调控
(1)低曲折度电极:离子传输路径通畅,极化小,适合高倍率充放电。
(2)高曲折度电极:离子传输受限,大电流下极化严重,倍率性能差。
4.2 循环稳定性的影响
(1)结构稳定性:适当的粘结剂含量能维持电极结构完整,防止循环过程中颗粒脱落。但过量粘结剂导致的超高曲折度会加剧局部极化,反而加速容量衰减。
(2)界面稳定性:低曲折度电极中离子分布均匀,可减轻局部过充/过放,延长循环寿命。
5. 极片曲折度的测试
如上所述,准确测定极片曲折度可成为评估粘结剂性能及优化电极设计的重要依据之一。那么,如何实现极片曲折度的高效、精准测试?元能科技自研的多通道离子电导率设备,通过组装对称电池并测试电化学阻抗谱,可对数据进行拟合、计算,快速获取真实反映极片微观结构的曲折度数据。该方法操作简捷,且避免了传统间接表征的误差,为粘结剂筛选与电极工艺优化提供了可靠的技术支撑。
5.1 测试设备
极片曲折度测试:如图1所示的多通道离子电导率测试系统(EIC2400M,IEST),该设备包含4个测试通道,可提供高纯氩氛围,实现多通道对称电池的电化学阻抗谱测试。压力范围10~50Kg,频率范围100KHz~0.01Hz。

图1. 多通道离子电导率测试系统
5.2 测试样品
不同粘结剂制备的石墨负极片。
5.3 结果分析

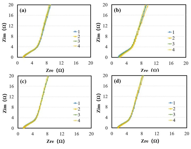
图2. 不同粘结剂极片对称电池的Nyquist图 A (a) ; B (b) ; C(c) ;D(d)
表1. 不同粘结剂极片的离子电阻和麦克马林数

对不同粘结剂制备的负极片组装对称电池进行电化学阻抗谱测试,结果如图2所示。对EIS图谱进行拟合、计算得到各极片的离子电阻、麦克马林数,如表1所示。从数据可以看出曲折度的大小为:极片A>C>B>D。
实验数据表明不同粘结剂制备的极片曲折度存在差异,粘结剂种类对极片微观结构(如孔隙连通性、离子传输路径)具有关键影响。曲折度作为评估电极性能的重要参数,其差异可间接反映粘结剂对极片电解液浸润性、锂离子扩散效率的影响,进而关联电芯的倍率性能、内阻及循环稳定性。因此,通过测试曲折度能够快速筛选粘结剂并优化极片设计,为提升电池综合性能提供依据。
6.总结
本文系统总结了粘结剂对极片微观结构及曲折度的调控作用,揭示了粘结剂类型、含量和分布均匀性对孔隙网络及离子传输路径的影响。通过电化学阻抗谱(EIS)测试方法,实现了极片曲折度的高效表征,为粘结剂性能评估和电极设计优化提供了可靠依据。优化粘结剂体系可改善电池的倍率性能和循环寿命,对高性能锂离子电池开发具有重要指导意义。
相关产品
更多
相关文章
更多
技术文章
2026-04-27技术文章
2026-04-21技术文章
2026-04-08技术文章
2026-04-02
请拨打厂商400电话进行咨询
使用微信扫码拨号