
元能科技(厦门)有限公司
白金会员
已认证

元能科技(厦门)有限公司
白金会员
已认证
一、作者信息及文章摘要
2022年,北京理工大学 Peipei Xu博士开发了一种基于LFP电池的膨胀力曲线来预估电池SOC的方法,经过实验验证发现,在电池不同的工况条件下,膨胀力对SOC的变化比电压更加敏感,因此本文提出膨胀力估计SOC的方法,首先采用LSSVM方法搭建膨胀力模型,可解决膨胀力与SOC的非单调变化问题,再结合浮动窗口法提升模型的适用性以及预估精度,最终所提出的SOC估计方法可实现预估电池不同环境温度以及不同预紧力条件下的预估误差在1%~0.54%之间,这是一种新颖的LFP电池的SOC估计方法。
二、试验方案
1.本实验中采用的LFP电池的信息如下表所示:
表1:电池信息

2.测试设备和流程:原位膨胀测试仪(IEST-SWE2100)和充放电设备(CT-8002-5V100A-NTFA)。如下图所示:

图1.膨胀力测试设备

图2.电池测试流程
三、结果分析
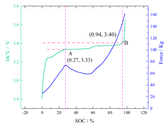
图3为1/25C倍率条件下得到的电压曲线和膨胀力变化曲线,从图中可明显看到电压曲线在27%~94%SOC存在一个电压平台,此时电压变化仅0.07V,然而在此区间的膨胀力变化却非常明显,这个阶段的膨胀力变化主要是由于负极石墨从LiC12到LiC6的相变引起的,说明采用膨胀力预估SOC是很有前景的,但是又看到此区间内的膨胀力变化是非单调性的,因此它也会为预估的准确性带来挑战。

图3. 准静态条件下的电压和膨胀力随SOC的变化图
为了验证SOC预估模型,开展了在两个动态工况(NEDC和DST)下,施加不同预紧力(15kg和30kg)和不同测试温度(25℃和45℃)的膨胀力实验。如图4,结果显示,在20%~90%SOC依旧存在明显的电压平台,且膨胀力的变化趋势与恒定电流充电模式下类似,说明膨胀力对电流的动态变化并不敏感,而对SOC的变化很敏感,这主要是是因为电压依赖电极表面离子浓度的变化,而膨胀力是受电极体相离子浓度的变化。另外,电池的膨胀力会显著随预紧力的增加而增加,因此在电池模组设计中要重点关注预紧力的大小。

图4.NEDC和DST循环工况下的膨胀力和电流电压曲线图
接下来,作者建立了LSSVM模型,并对其不断训练优化,结合AUKF进行SOC预估,可实现对不同温度、不同电流动态工况、不同预紧力的SOC预估。

图5.基于AUKF和LSSVM预估SOC的流程图
四、总结
本文作者介绍了一种新型的利用膨胀力估计LFP电池的SOC的方法,基于LSSVM和AUKF算法,可实现估计误差小于1%,并适用于不同的温度、动态电流和预紧力的工况条件。未来该方法有望拓展到其他电池体系,也可进一步对不同SOH和低温条件下的电池建立SOC预估模型。
IEST元能科技相关测试设备推荐◤
SWE系列原位膨胀分析系统(IEST元能科技):利用高度稳定且可靠的自动化平台,搭载高精测厚传感器,实现对电芯整个充放电过程的厚度变化量和变化速率的测量, 可实现如下功能:
1.恒压力条件测试电池膨胀厚度曲线;
2.恒间隙条件下测试电池膨胀力曲线;
3.电池压缩性能测试:应力应变曲线-压缩模量;
4.电池膨胀力分步测试;
5.不同温度控制:-20~80℃。

文献原文
A syncretic state-of-charge estimator for LiFePO4 batteries leveraging expansion force. Journal of Energy Storage, 50 (2022) 104559.
相关产品
更多
相关文章
更多
技术文章
2026-04-27技术文章
2026-04-21技术文章
2026-04-08技术文章
2026-04-02
请拨打厂商400电话进行咨询
使用微信扫码拨号