
元能科技(厦门)有限公司
白金会员
已认证

元能科技(厦门)有限公司
白金会员
已认证
锂电池的主要封装形式有三种,分别是软包、方形和圆柱。软包电芯采用铝塑膜作为封装材料,具有设计灵活性和多样的型号,外形可根据客户需求进行定制。软包电芯具有较小的内阻和高能量密度,在失效时通常会产生胀气并裂开。然而,软包电芯存在一致性差的问题,并且容易发生漏液。方形电芯通常采用铝合金、不锈钢等材料作为壳体,具有较高的结构强度和良好的承受机械载荷能力。方形电芯的成组结构简单,系统能量密度相对较高。然而,不锈钢材质会导致电芯重量偏重,从而影响能量密度。此外,方形电芯的制作工艺较为复杂,良品率和一致性不如圆柱形锂电芯。圆柱电芯具有悠久的历史和较高的市场普及率,采用了相当成熟的卷绕工艺,具有较高的自动化程度、稳定的品质和相对较低的成本。
目前,对于评测电芯膨胀性能,方形和软包电芯已经可以通过相应的方法来表征其膨胀行为。然而,由于圆柱电芯本身结构的特殊性,尚未明确确定其膨胀表征方法。因此,本文旨在通过数学理论计算圆柱电芯的膨胀特征,并提供一种描述圆柱电芯膨胀力的表征方法。
1.测试信息
1. 实验设备:
原位膨胀分析仪,型号SWE2110(IEST元能科技),如下图所示:

图1.原位膨胀分析系统示意图
2.结果分析
2.1 圆柱电芯膨胀分析
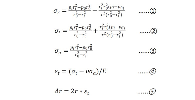
对圆柱壳体进行应力分析,如下图2所示:在内压pi的作用下,每个单元体会受到三个应力,σa是沿着圆柱高度的轴向应力,来自圆柱两头端面的受力,会引起圆柱高度的变化。σr是沿着垂直于圆柱表面的径向应力,沿着直径方向向外,有着引起壳体表面出现向外变形的趋势。σt是沿着圆柱周向的环向应力,会引起壳体周长的变化。所以σr和σt都是引起壳体膨胀的原因。

图2.圆柱电芯壳体应力分解
依照厚壁圆筒切应力理论推导三应力表述如下①②③。以3665电芯为例:内径ri为17.7mm,外径r0为18.0mm,在常压下P0为0.1MPa,假设化成后内压Pi为1.0MPa,计算可得σr为-0.1MPa, σt为52.6MPa,σ 为26.2MPa。即电芯膨胀主要为轴向和周向方向应力所致。

忽略σr影响,进一步再结合钢壳的应力应变规律(式④)及周长公式(式⑤)可得壳体直径变化。以钢材质弹性模量E为210GPa,泊松比υ为0.3,计算可得满充态(假设此时内压P1为1.2MPa)时径向膨胀约9.4μm,若满放后回到化成后状态,即内压为1.0MPa,此时径向膨胀量为7.7μm,则电芯充放电过程中径向膨胀厚度约为1.7μm。依此条件此方法计算不同型号电芯充放电形变量如下表1所示,可得圆柱电芯充放电过程中电芯径向基本无膨胀。在实际中化成后内压可能达不到1.0MPa,也有些工艺是先化成后封口,也说明实际中形变量会比表1计算值更小。

表1.不同型号电芯充放电径向计算
具有柔性铝塑膜软包电池厚度变化特别明显,容易实现测量。但是由于硬壳体的结构刚性,圆柱形电池表现出小得多的直径膨胀(约0.1%),因此很难观察到可逆和不可逆的电池直径变化。但是,由于固体电解质界面(SEI)层和Li电镀等不可逆的层厚度增长,会导致体积变化,并且由于副反应而产生的气体,也会导致壳体内部的压力增加,壳体内部的电芯在充放电过程中肯定会发生膨胀和收缩。为了了解电池内部发生哪些潜在的机械过程,需要合适的测量方法来记录和分析诸如电极厚度和电芯部件的体积变化之类的参数。评估电池的结构特征通常会使用X射线、计算机断层扫描、中子和超声成像等方法来获取应变、应力分布和结构强度等综合信息。虽然这些技术功能强大,但由于需要特殊的设备、成本较高,而且这些高能量源在电池操作中不可避免地会造成干扰,所以这些方法通常被用作离线诊断技术。
2.2 圆柱卷芯膨胀力表征
鉴于圆柱电芯径向基本无膨胀,因此无法直接从电芯外面进行监测。表1中的膨胀变化量与元能科技的原位膨胀分析系统(SWE2100)恒间隙模式下的控制波动±1μm相当,因此可用SWE2100设备能很好的模拟圆柱电芯外壳对卷芯的束缚,从而实现对圆柱卷芯膨胀力的表征。测试前处理流程如下图3所示:在手套箱或者干燥房内,拆除外封装(钢壳),然后延长极耳,最后用铝塑膜重新封装。

图3.圆柱电芯前处理流程
测试过程中,直接把电芯放置于测试腔中(两块陶瓷板间),开启测试软件(MISS2.1),选择恒间隙模式原位监测膨胀力随SOC变化情况,如下图4所示。

图4.不同型号圆柱卷芯膨胀力
这种方法监测的主要就是圆柱形电芯在充放电过程中的变形过程。如图5所示,圆柱形电池与软包电池的柔性铝塑膜壳不同,它采用刚性金属壳,这会阻碍内部膨胀产生的应力释放。被测试电池中金属外壳与内部胶卷之间的非均匀接触会导致微小的松散接触,从而导致应力分布不均匀。在循环的早期阶段(即新鲜电池),体积膨胀机制如图5a所示。电池的表面最初是相对圆形的,电池充满电时内部的应力分布会转移到金属壳体上,因此产生了不均匀的膨胀分布。由于电芯卷的结构,径向突出的膨胀会导致金属壳体上出现收缩凹陷。随着循环的进行,不可逆膨胀的增加使得这种峰-谷结构被永久固定累积,使得壳体与内部更加紧密接触,如图5b所示。

图5.新鲜的(a)和老化的(b)圆柱形电池的体积变化的机制示意图
3.小结
本文采用原位膨胀分析系统(SWE2100)恒间隙模式模似外壳对圆柱卷芯束缚,从而实现原位表征圆柱卷芯膨胀力,助力圆柱电芯的优化和开发。同时也可探讨利用圆柱结构优势为硅负极等高膨胀材料提供一种膨胀优化策略。
4.参考文献
Wenxuan Jiang, Haoran Li, Sicong Wang, Sa Wang and Wei Wang,Dynamic Volumography of Cylindrical Li-Ion Battery Cells by Watching Its Breath During Cycling
相关产品
更多
相关文章
更多
技术文章
2026-04-27技术文章
2026-04-21技术文章
2026-04-08技术文章
2026-04-02
请拨打厂商400电话进行咨询
使用微信扫码拨号