
元能科技(厦门)有限公司
白金会员
已认证

元能科技(厦门)有限公司
白金会员
已认证
析锂现象
锂离子电池在使用过程中发生析锂是一种常见的异常现象。析锂现象的直接原因是负极材料无法及时提供容纳给游离的锂离子空穴,或游离的锂离子无法及时到达空穴导致锂离子堆积,进而造成锂离子发生还原反应生成锂金属。从大方向来分类的话,锂离子电池析锂原因分成五大类:(1)负极老化,储锂余量不足造成的析锂;(2) 快充、过充以及低温充电等情况造成的析锂;(3)嵌锂路径异常造成的析锂;(4)正、负极极片、隔膜等异常造成的析锂;(5)特殊原因造成的固定位置析锂。
析出的锂形成锂枝晶,具有非常强的还原活性和较大的比表面积,其持续生长会带来许多危害。例如,(a)过度生长的锂枝晶可能刺穿隔膜,导致正负极短路,甚至会引起锂离子电池的起火和爆炸;(b) 锂枝晶在放电过程中并不能完全可逆氧化,可能从根部断裂,形成“死锂”,导致电池内部活性锂的损耗,降低库伦效率,降低容量;(c)新生成的金属锂表面与电解质反应,生成新的SEI膜,同时消耗电解液,导致电池内阻增大,局部失去活性,降低容量。
基于上述原因,负极析锂现象的成因及其边界条件是锂离子电池生产厂家和应用客户非常关切的研究热点。因此,析锂现象的检测和预防成为元能科技希望解决的问题。
检测方案
检测析锂的方法可分为三种类型:
1.检测负极电位VS Li/Li+,例如,使用参比电极或半电池。在某些工作条件下,特别是在低温和/或高电流下充电时,锂离子沉积在负极表面,而不是嵌入石墨晶格中。仅当负极电位低于0V时,才会发生这种情况。
2.由于析锂对电池造成的衰减,通过多种电气信号检测。例如通过电化学阻抗法分析频谱(内阻上升),差分电压法分析电压的异常、中子频谱法分析元素的改变等等。
3.电池拆解后,对金属锂进行物理/化学分析。
方法(1)即测量半电池中的负极电位需要内置参比电极,这需要对电池结构进行大改变,而且参比电极可能会干扰电极过程,并对测量产生负面影响。方法(2)定期检查电池性能下降,主要的参数是电池容量的衰减,与活性锂的损失直接相关。但是,锂沉积的很大一部分是可逆的,析出的锂还可以通过随后的化学插层到石墨晶格中,或者放电时再溶解来实现可逆。总之,这些方法很难平衡便捷度、实用性与经济性。
元能科技提供了一种简单快速判断析锂窗口的方法。设计了一款分辨率为0.1微米,可以精确测量电池循环过程中厚度变化的厚度膨胀仪。在给定的循环条件下,绘制电池在恒压力或恒间隙充放电时的电池厚度-SOC曲线。在析锂的情况下,可以清晰地观察到电池厚度有异常的增加。电池厚度的变化可以作为无损析锂检测的指标,厚度指标与基于容量、阻抗、电压等方法相比,有更高的灵敏度,并可以迅速地给出结果。
膨胀析锂实验
本实验运用原位膨胀分析仪(SWE)对不同温度下电芯发生析锂的电位窗口进行定量评估,给研发人员制定不同温度下的快速充电策略提供新方法。首先准备特定SOC的NCM软包电池,测试电池的参数如图1中表格(b)所示。

图1. 设备和电池型号
设置电芯充电电流为0.5C,放电电流为1C,置于高低温箱原位膨胀分析仪测试腔中,如图1(a)。电池分别在25℃,15℃,10℃,0℃温度下进行充放电,同步用原位膨胀分析仪实时监控电芯膨胀厚度变化曲线(5kg恒压力模式)。
对软包电芯分别在四种不同温度下采用相同的倍率满充,如图2所示,25℃,15℃,10℃, 0℃四种状态下最大厚度膨胀量分别为70.6μm,80.4μm ,80.1μm, 92.4μm,膨胀率分别为2.08%,2.35%,2.35%,2.71%。从图2(a)可看出,0℃曲线与10℃、15℃、25℃曲线有明显差异,特别是高SOC状态下的膨胀厚度的斜率有差异,初步怀疑0℃电芯发生了析锂。
进一步分析不同温度的微分容量曲线,如图2(b)所示。由图可知:四个温度对应的微分容量曲线的波峰位置与厚度膨胀速率变化突变是同步的,表明此电芯充电过程厚度变化是由于正负极材料有脱嵌锂的相变造成。且随着温度的降低,相变峰在不断向右移动,说明极化在不断增加。对比不同温度的厚度膨胀曲线,其中0℃对应的厚度曲线,斜率有突变的位置对应的厚度膨胀量明显大于其他三个温度,且对厚度膨胀曲线进行微分,如图2(c)所示。由图也可明显看出,0℃的电芯的单位容量的膨胀厚度在充电容量大于30%SOC,电压达到4.27V后,也比其他三组的稍大,这很可能是因为随着测试温度的降低,电芯极化增大,负极表面有析锂,从而导致厚度膨胀的斜率较大。

图(a)软包电池在不同温度下的充电容量-SOC-厚度曲线

(b)软包电池在不同温度下的微分容量-电压-厚度曲线

(c)软包电池在不同温度下的微分厚度-SOC-厚度曲线
图2. 电池析锂膨胀曲线
枝晶生长分析
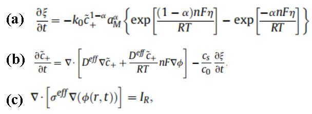
通过膨胀析锂实验,获取了电池在不同温度下循环的厚度变化数据,其中厚度容量微分曲线表明了析锂对应的时间、容量和温度窗口。然后,通过进一步的理论分析,尝试计算出该种工况下具体的析锂量。电池在不同温度下的膨胀是一个复杂的多物理场耦合问题,涉及离子浓度场、电势场、物态相场和温度场。我们通过建立一个连续的的热力学相场模型来理论分析枝晶形成的样貌和条件。模型中,通常包含三个非线性方程:
(a)相场方程:锂元素从离子态到金属态的相变随时间的变化与系统自由能的变化成正比。其中系统自由能可以包含电池化学反应生成的能量、材料弹塑性变化的能量、热能等等。
(b)离子扩散方程:即菲克第二定律,固相锂离子浓度随时间的变化与颗粒内部沿着半径方向的离子浓度梯度的关系。该方程的意义在于任意时刻固相离子浓度的浓度变化与其扩散系数和浓度梯度相关。
(c)电势分布方程:对于静电势分布,假设系统中的电荷中性,认为电流密度由泊松方程守恒,包括一个源项来表示由于电化学反应而进入或离开的电荷。

将非线性方程组(a)(b)(c)输入Comsol软件中,可以计算特定温度、倍率和电压下的枝晶形貌。如图3所示。

图3. 锂枝晶模拟结果
析锂与石墨嵌锂体积变化对比分析
石墨||三元电池中,正极体积变化很小(≤1%),而石墨满嵌锂状态下体积变化为10%。因此,电池的体积变化主要由石墨负极决定。石墨材料的全部碳原子中,每六个碳原子可以储存一个离子,因此可以储存在石墨中的最大的锂离子量是每六个碳原子中有一个锂原子,可以储存的最小锂离子量为零。因此,当谈到石墨电极的锂化程度时,我们使用符号LixC6,其中0≤x≤1。显然,从原子水平上看,对于任意的C6环,要么环中只插入一个锂原子,要么没有插入锂原子。但是,当考虑整个电极时,只有部分C6环中会嵌入锂离子,这个比例是x的值。当电池充电时,负极被高度锂化,富锂状态下LixC6的x接近于1。当电池放电时,负极中锂原子大量脱嵌,贫锂状态下,LixC6中x接近于0。
去溶剂化的锂离子在石墨中的电化学插入反应发生在0~0.25V vs Li/Li+的电位范围内。插层反应发生在明确的电压平台,在电压平台的开始和结束处也有明确的插层化合物。实验表明,嵌锂步骤是可测量的。六角形(ABABAB)和菱形(ABCABC)石墨结构在嵌锂过程中分别转化为一个带有插入锂的AAAAAA堆叠序列。锂的位置位于两个石墨烯层之间的C6环的中心。因此,石墨的容量取决于可用的石墨烯层的数量。如果使用结构非常良好的石墨(如天然石墨),在倍率充电情况下,几乎可以完全充满到372mAh/g的理论容量,图4显示了插锂过程中的负极变化。

图4. 石墨嵌锂电势曲线及示意图
锂离子插入负极晶格时可以填充自由间隙,因此,插层化合物的体积小于两种单独材料的体积加和。插层材料的厚度增加不会造成电池的显著膨胀。但负极表面沉积的锂金属会显著增加软包电池的厚度。将1Ah的电荷从阴极转移到阳极,锂物质的量为37.31mmol。每六个碳原子为一个锂原子插入提供空间。因此,对于1Ah的电荷,需要消耗0.2239mol碳。此部分碳的体积为1.189cm³。根据文献可知,由于锂离子的插入,碳基阳极材料膨胀约10%。因此,充电1Ah导致体积变化为0.12cm³。锂离子还原为锂金属在负极表面析出时,假设锂致密沉积,1Ah电荷还原的锂金属的体积为0.49cm³。如果锂形成枝晶形貌(图3),析出的锂成蓬松状,体积增加更大。假设锂枝晶的占比为x%,结合该种工况下锂枝晶的形貌,根据指定恒压力下原位膨胀设备测得的数据和测得电池的杨氏模量,计算可得图2(b)中0°0.5C的循环条件下,析锂量为4%。
总结
元能科技研发的原位膨胀测试仪可以准确的检测电池在指定工况循环下的厚度变化。其中,特定工况下的析锂温度、SOC窗口可以通过厚度微分等算法精确求出,并可以结合comsol模拟的锂枝晶形态粗略计算锂枝晶消耗的锂离子的量。
参考文献
[1]A new method for detecting lithium plating by measuring the cell thickness
[2]Modulation of dendritic patterns during electrodeposition: A nonlinear phase-field model
相关产品
更多
相关文章
更多
技术文章
2026-04-27技术文章
2026-04-21技术文章
2026-04-08技术文章
2026-04-02
请拨打厂商400电话进行咨询
使用微信扫码拨号