
元能科技(厦门)有限公司
白金会员
已认证

元能科技(厦门)有限公司
白金会员
已认证
前 言
锂离子电池原材料主要有正极材料、负极材料、集流体、电解液和隔膜。正负极材料通常为微米级粉体材料,其中常见的锂离子电池正极粉体材料有层状钴酸锂、橄榄石结构磷酸铁锂、尖晶石结构的锰酸锂以及层状镍钴锰三元材料(以下简称NCM)。其中钴酸锂(LiCoO₂, LCO)在基于3C类(计算机、通信和消费)电子电池中占据主导地位,其具有高能量密度、高电压平台、放电平稳、生产工艺简单等优势。锂离子电池的工艺生产环节中极片制作工艺非常重要。锂离子电池极片制造一般工艺流程为:活性物质,粘结剂和导电剂等混合制备成浆料,然后涂敷在铜或铝集流体两面,经干燥后去除溶剂形成极片,极片颗粒涂层经过压实致密化,再裁切或分条。通过研究提升极片的性能,对电池的稳定性、安全性和实用性有非常重要的意义。其中,研究构成电极的粉体材料的性能,建立标准的电极粉体评估模型十分重要。
本文主要以四种不同粒径分布的钴酸锂粉体材料为基础,测试粉体在不同压力下的电阻率、压实密度,结合扫描电镜测试,分析钴酸锂粉体的力学-电学性质变化。同时结合实验结果,建立四种钴酸锂粉末对应的离散元模型,对钴酸锂粉体在压实过程中的力学-电学变化给出理论解释。
1. 测试方法
1.1 实验流程:
采用元能科技公司研发的PRCD3100型号的压实粉末电阻仪对四种钴酸锂粉末进行电导率、压实密度及压缩性能测试。测试的样品和设备如图1所示。测试参数:上压头依次对钴酸锂粉末施加10-200MPa的压强,间隔20MPa,保压10s。

图1.实验材料及流程图
1.2 四种材料在200MPa下的形貌测试:
采用扫描电镜分别测试四种LCO粉体材料在200MPa压实情况下的形貌,图2分别为LCO-1、LCO-2、LCO-3、LCO-4四种材料的SEM测试结果,从图上可以明显看出四种材料的颗粒分布及颗粒大小均有明显差异,其中LCO-1包含了约5μm-30μm范围内多种粒度的样品,LCO-2包含了约5μm-15μm范围的粉体,LCO-3样品包含了约10μm-45μm范围的粉体,LCO-4则主要是粒度约为5μm的小颗粒。粒度分布差异直接影响粉体在受压过程中的充填效应,且与材料间的压实密度、电子导电性能及压缩性能紧密相连。同时,图中可以清晰地看到钴酸锂二次颗粒被压裂破碎,产生剪切破坏。
在辊压工艺过程中,随着辊压压力不断增加,极片主要的形貌变化包括:①极片厚度变薄,表面粗糙度减小,极片表面更光滑;②极片各组分接触更紧密,空隙压合减少;③集流体与涂层结合增强,颗粒压入箔材表面形成凹坑;④过压情况下,活性颗粒破碎,二次颗粒间形成可见裂纹。辊压工艺必须采用合适的压力条件,使极片达到合理的压实密度。过压可能导致破碎颗粒丧失活性颗粒本省优异性能, 稳定性变差,而且可能使导电网络破裂降低极片电导率。

图2.钴酸锂粉体的整体和局部SEM图像
2. 实验分析
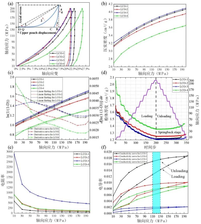
图3显示了粉末压实仪给出的粉体压实过程中的应力应变曲线、压实密度曲线、粉体塑性曲线、粉体厚度及施加力曲线、电阻率曲线和电导率曲线。粉体材料的压缩性能与颗粒形状、粒径及其分布等诸多因素有关,实际粉体材料在压力作用下,颗粒堆积由初期的松散状态经充填效应进一步紧密堆砌,充填效应产生的粉体整体形变是主要的不可逆形变;当颗粒之间全部为最紧密堆积时,压力作用下颗粒首先会发生弹性形变,会有应力的产生,这种形变是一种可逆形变,当压力卸载时这种形变会发生可逆回弹;当压力超过粉体材料的屈服强度,颗粒发生塑性形变,这也是不可逆形变。实际粉体颗粒压缩过程中是多重力共同作用的,应力也是一个综合变化的过程。

图3.粉体压实实验数据曲线
3. 离散元仿真
3.1 模型构建
在PFC软件输入粉体的真实粒径分布,分别生成13418、50568、31455和61149个球体代表四种钴酸锂粉体,粉体四周设置固定约束代表治具工装,上表面施加10-200MP的压力,图4为离散元模型。

图4.粉体离散元模型
3.2 理论分析
结合图3实验中粉体应力应变曲线,将爱丁堡弹塑性黏附模型(EEPA)施加到粉体颗粒之间作为接触模型,EEPA可看作线弹性模型胡克定律的变形。公式(1)给出了EEPA模型定义的应力应变关系。

公式(1)
图5绘制了EEPA模型中粉体的作用机理示意图。

图5.EEPA模型简介
3.3 模拟结果分析
图6展示了离散元模拟的应力应变曲线和实验曲线的对比图。图中结果显示根据EEPA模型,可以非常好的计算出给定工况下的曲线。这说明该模型与实验过程吻合度比较高,采用该模型可以有效模拟颗粒的压实过程,从而指导粉末压实电导率的测试以及极片的辊压工艺。

图6.离散元仿真模拟图
图7为LCO4粉体的力链图,显示出粉体在50MPa和200MPa下的颗粒间的接触力分布。颜色越暖、线条越粗表示接触力越大,接触越好。外荷载加载方式、体系尺寸、颗粒无序排布和颗粒物性参数等决定了力链结构、而力链结构网络决定了体系的应力传播模式。力链图一定程度上也表示电流的传导路径,在外荷载影响下力链发生的断裂和重构会导致应力传递路径的变化,也会影响电子得传导路径,力链网络和电导率的关系值得进一步研究。

图7.粉体的力链分布图
图8为各向异性接触组构图,球形被分为3600个等表面积的区域,每个方向的柱体长度表示该方向的接触强度,颜色越暖强度越大。由图可知,粉末轴向压实之后存在明显的各项异性。大量研究表明电池极片辊压压实之后也同样具有各项异性特征,比如石墨颗粒更多地形成与集流体平衡分布的形貌;极片电导率在厚度和横向方向上也存在几个数量级的差异;以及孔隙迂曲度也存在明显的方向差异,往往厚度方向孔隙迂曲度比其他方向更大,特别是对于片状或椭圆形颗粒形貌。这种接触组构图与电阻率有高度的相关性。

图8.各向异性接触组构
总 结
本文以四种不同粒径分布的钴酸锂粉体材料为基础,结合元能科技PRCD3100系列粉末电阻&压实密度仪,测试粉体在不同压力下的电阻率、压实密度,同时结合实验结果,建立四种钴酸锂粉末对应的离散元模型,对钴酸锂粉体在压实过程中的力学-电学变化给出合理的理论解释,同时为粉体材料力学性能研究提供一种新的思路。
参考文献
[1] Q. Liu, J.G. Wang, B.W. Hu, Acs Omega.
[2] S.C. Thakur, H. Ahmadian, J. Sun, J.Y. Ooi, Particuology, 12 (2014) 2-12.
相关产品
更多
相关文章
更多
技术文章
2026-04-27技术文章
2026-04-21技术文章
2026-04-08技术文章
2026-04-02
请拨打厂商400电话进行咨询
使用微信扫码拨号